HUIYING
OAB(膀胱过度活动症)的机理
OAB是一种以尿急为核心症状的综合征,常伴有尿频、夜尿和急迫性尿失禁。其病理生理机制主要与膀胱逼尿肌过度活动(DO) 和中枢或外周神经调控异常有关。可能与以下因素相关:
逼尿肌异常收缩:非自愿性收缩导致尿急。
感觉神经过敏:膀胱感觉神经异常敏感,导致提前产生尿意。
中枢抑制功能下降:如脑干或皮质对排尿反射的抑制减弱。
HUIYING
PTNS/TTNS 解决 OAB 的机理
PTNS=TTNS(经皮胫神经刺激)通过刺激胫神经(L4–S3神经根,与支配膀胱的骶神经根有重叠)来调节骶髓排尿中枢,实现:
抑制逼尿肌过度活动
提高膀胱容量
延长首次尿意时间
增强膀胱顺应性
HUIYING
临床研究
研究方法 (Study Design)
研究类型:单中心、自身对照试验 (Pilot Study)
受试者:20名对保守治疗无效的OAB患者。
干预方案:
设备:使用一款智能可穿戴TTNS设备(Butterfly形状,见图2)

图2 TTNS设备与移动终端
参数:20Hz频率,200 μs脉冲宽度,电流强度以患者舒适并可见脚趾抽动为准(0-30 mA)。
方式:每日在家自行刺激60分钟,持续4周。电极贴附于脚踝内侧上方三指处(胫神经走行位置,见图3)。
图3 电极放置位置
评估方法:
主观症状:使用3天排尿日记和标准化问卷(OABSS, PPBC, AUA-SI-QoL)在治疗前(基线)和治疗4周后进行评估。
术语解释(OABSS):OAB症状评分,分数越高症状越严重。
术语解释(PPBC):患者对膀胱状况的感知评分,反映主观困扰程度。
术语解释(AUA-SI-QoL):美国泌尿协会症状指数生活质量评分,分数越高生活质量越差。
客观功能:在治疗前和治疗过程中进行尿动力学检查,评估膀胱功能。
术语解释(尿动力学检查):一种评估膀胱储尿和排尿功能的客观检查。
研究结果 (Study Results)
结果显示,经过4周的TTNS治疗,患者的主观症状和客观膀胱功能均得到显著改善。
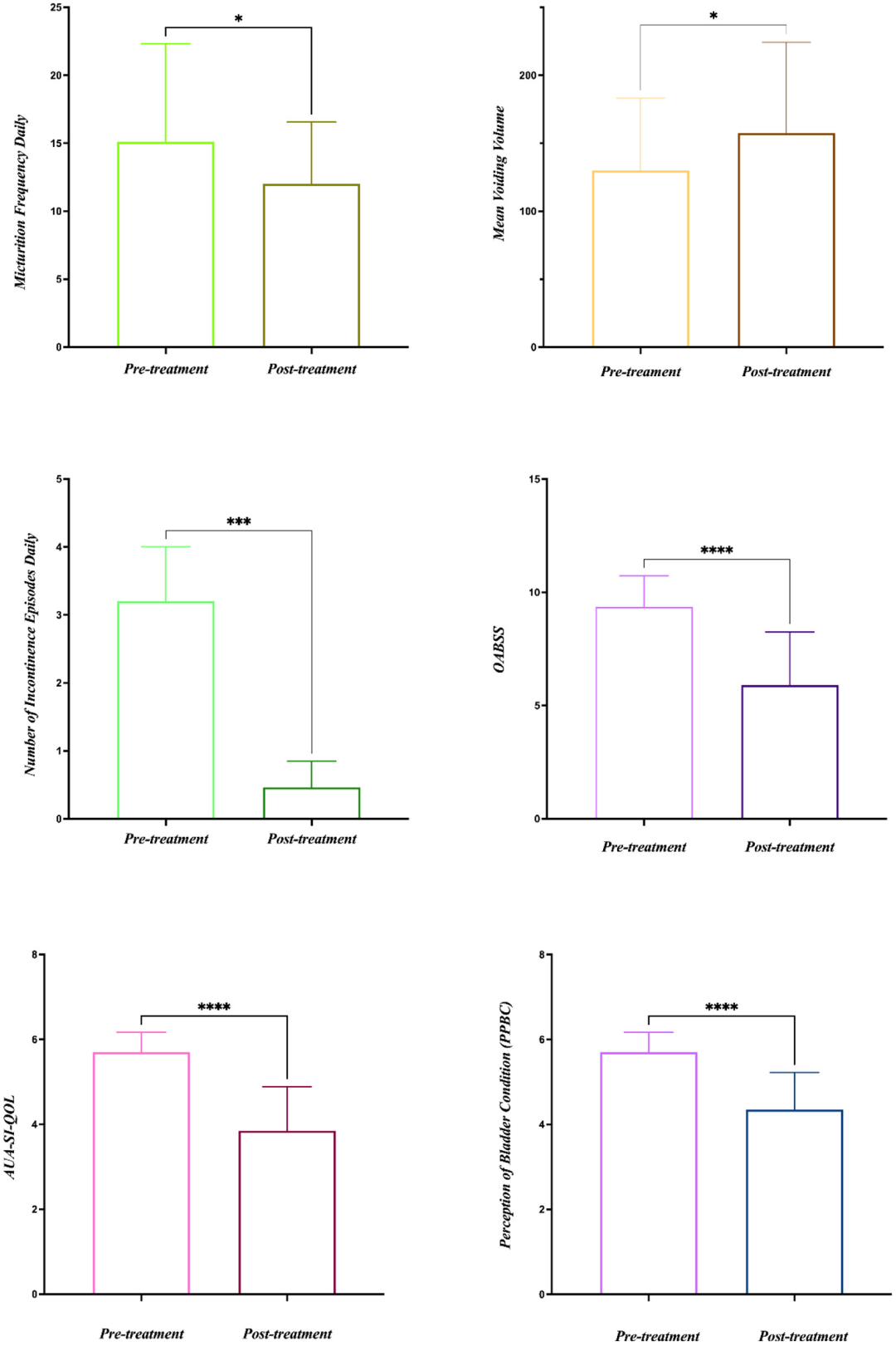
临床症状显著改善 (图4)
图4 治疗前后临床参数对比
图4以柱状图形式清晰展示了治疗前后关键临床指标的变化:
每日排尿次数显著减少(从 ~15次 → ~12次)。
每日尿失禁次数急剧下降(从 ~3次 → ~0.5次)。
平均单次尿量显著增加(从 ~130mL → ~157mL)。
所有问卷评分均显著下降,证实患者自觉症状和生活质量得到全面提升。
膀胱功能立即改善 (图5、图6)
图5 治疗前后尿动力学参数对比
图5显示了在治疗当时,尿动力学参数就出现积极变化:
首次膀胱充盈感容量增加:意味着患者能更晚地感觉到尿意。
最大膀胱容量增加:意味着膀胱能储存更多尿液。
这些即时效应表明TTNS能快速调节膀胱的神经控制功能。

图6 尿动力学图像代表
图6通过真实的尿动力学曲线图,直观对比了治疗前后的变化:
治疗前 (A):曲线显示膀胱容量较小,逼尿肌压力相对较高。
治疗中 (B):曲线显示膀胱容量明显增大,逼尿肌压力曲线更平稳。
这形象地证明了TTNS能够抑制逼尿肌的过度活动,增加膀胱的储尿能力和顺应性。
安全性
整个治疗过程中未报告显著副作用,证明该家用TTNS设备安全性良好。
HUIYING
总结
该研究初步证实:
TTNS设备安全、有效、易接受,无明显副作用。
可显著改善OAB患者的临床症状和尿动力学指标。
设备具备智能连接、参数可调、家用便捷等优势,适合长期管理。
局限性:样本量小、无盲法设计、缺乏长期随访、未设置对照组。
HUIYING
回映产品
产品1:便携式TI时域干涉经颅电刺激仪
便携式TI时域干涉经颅电刺激仪通过紧密接触于头皮的电极传导两路不同频率的高频脉冲电流(如:2000Hz和2010Hz),高频电流流经大脑表层和深部区域,并在脑深部干涉产生低频包络(如:10Hz),由于大脑神经元对高频(>1000Hz)电刺激不响应,所以位于大脑表层的高频电流并没有对大脑产生刺激效应位于脑深部的低频包络刺激大脑,实现无创地刺激大脑深部而不影响大脑皮层,即无创脑深部电刺激。
回映便携式时域干涉电刺激设备支持传统的tTIS时域干涉电刺激模式(基于正弦波),PWM-TI时域干涉电刺激模式(基于50%占空比方波),burst-TI时域干涉电刺激模式,细分为tTI-iTBS,tTI-cTBS两种模式(基于iTBS,cTBS).
适用范围:
产品2:48通道8脑区同步高精度经颅电刺激设备
回映电子科技院线级多脑区高精度经颅电刺激设备(MXN-48)是一款可8脑区/8人同步干预的高精度经颅电刺激实验平台。其已突破了Soterix对该技术的垄断(Soterix产品Soterix MXN-33 高精度经颅电刺激系统其之前是市面上唯一款可对不同脑区进行同步精确干预的设备)回映高精度经颅电刺激产品M×N-48其具有48个独立输出通道,每个通道的波形,强度等参数都可以独立设置,可以实现对8个不同脑区的同步干预,不同脑区的相位同步性<0.1°,大大增强了tES的神经调控效果。回映高精度经颅电刺激设备提供了两种不同的操作模式以供研究者选择——基础模式和自由模式。基础模式使用更加方便,设定简单;自由模式则允许导入自定义电流波形,功能更加强大。
适用范围:康复医学:运动功能障碍、语言障碍、认知障碍、吞咽障碍、意识障碍、上肢肌张力障碍、卒中后抑郁、卒中后疼痛等精神病学:抑郁症、焦虑症、强迫症、物质成瘾、创伤后应激障碍﹑精神分裂症等儿童康复:脑瘫、运动功能障碍、注意缺陷多动障碍、孤独症、阅读障碍、语言发育迟缓等神经病学:睡眠障碍、耳鸣、慢性疼痛、帕金森病、纤维肌痛、慢性疼痛(脊髓损伤下肢)、阿尔茨海默病、单侧忽略﹑偏头痛、神经性疼痛等脑科学研究:记忆、学习、言语等
产品3:手持式高精度经颅电刺激HD-tES设备
回映便携式高精度经颅电刺激仪(HD-tES)创新地采用type-C转生物电极的设计使得产品能够非常便捷地被使用。回映便携式高精度经颅电刺激仪(HD-tES)通过多电极配置(1个中心电极和4个返回电极)实现高精度电流聚焦,精准刺激目标脑区。其核心优势在于通过缩小电极尺寸(直径12mm的环形电极)和增加电极数量,显著提升刺激的聚焦性和精准性。
回映HD-tES支持多模式刺激,覆盖多场景需求:HD-tDCS模式:调节皮层兴奋性,适用于中风康复、抑郁症干预等。HD-tACS模式:精准锁定脑电频段(如β-γ频段改善强迫症,4Hz增强工作记忆)适配认知障碍治疗等。HD-tRNS模式:HD-tRNS 对显式和隐式计时任务的影响不同,用于研究大脑的计时机制和时间处理能力等。
回映便携式HD-TES设备示意图
回映自研type-C转生物电极示意图
适用范围:神经系统疾病治疗,意识障碍和认知功能调节,康复治疗,运动和认知功能恢复。产品4:便携式经颅强交流电刺激仪(Hi-tACS)
该设备采用非侵入性的10-30mA刺激电流直接刺激大脑区域,进而刺激大脑深部的神经核团、改变神经递质水平,影响脑电节律、改善脑区间的联络,从而增强脑功能,治愈疾病。
回映便携式经颅强交流电刺激仪设备示意图
- 随机文章
- 热门文章
- 热评文章
- 15国百余位当代艺术家作品亮相山西,15国百余位当代艺术家作品亮相山西
- 故宫博物院上线青少网站英文版、繁体版,故宫博物院上线青少网站英文版、繁体版
- 跨越时空的对话:浙江南湖“红船星河”闪耀雪域高原,跨越时空的对话:浙江南湖“红船星河”闪耀雪域高原
- (寻味中华|非遗)潮州木雕:伴潮水而生,随潮商出海,(寻味中华|非遗)潮州木雕:伴潮水而生,随潮商出海
- “中国有戏”第32届中国戏剧梅花奖演员走进伊犁专场演出活动举办,“中国有戏”第32届中国戏剧梅花奖演员走进伊犁专场演出活动举办
- 大兴安岭深处的植物扎染工匠:草色染指 布里生花,大兴安岭深处的植物扎染工匠:草色染指 布里生花
- 香港原创粤语音乐剧《大状王》在北京开演,香港原创粤语音乐剧《大状王》在北京开演
- 世界遗产“西夏陵”的这些知识,你知道几个?,世界遗产“西夏陵”的这些知识,你知道几个?
- 聚焦女性成长呈现先锋表达 《她的生存之道》发布主题曲 MV,聚焦女性成长呈现先锋表达 《她的生存之道》发布主题曲 MV
- 10年难遇?今年“三伏天”有啥讲究,10年难遇?今年“三伏天”有啥讲究
- 1原创粤语音乐剧《大状王》内地火爆上演 业者望助力行业发展,原创粤语音乐剧《大状王》内地火爆上演 业者望助力行业发展
- 2一抹青色入夏来 “青·韵”特展亮相成都金沙,一抹青色入夏来 “青·韵”特展亮相成都金沙
- 3乌兰毛都草原上的札萨克图刺绣:指尖上盛开炽热之花,乌兰毛都草原上的札萨克图刺绣:指尖上盛开炽热之花
- 4正青春正时尚!广东推动粤剧“破圈”拥抱年轻一代,正青春正时尚!广东推动粤剧“破圈”拥抱年轻一代
- 52025世界制造业大会|中国电信成功举办“共筑AI底座 智领工业未来”发布会
- 6第二届中国(沈阳)喜剧电影周打造全民共享光影盛宴,第二届中国(沈阳)喜剧电影周打造全民共享光影盛宴
- 72025暑期档电影总票房破55亿 这三部必看!,2025暑期档电影总票房破55亿 这三部必看!
- 8中金岭南股东户数减少1199户,户均持股16.85万元
- 9原创话剧《一张报纸的抗战》将艺术呈现中国报人形象,原创话剧《一张报纸的抗战》将艺术呈现中国报人形象
- 101.5法拉电容对车辆的使用有影响吗
- 1《龙·中华民族的图腾》新书分享会在中国考古博物馆举办,《龙·中华民族的图腾》新书分享会在中国考古博物馆举办
- 22025上合组织国家电影节在重庆闭幕,2025上合组织国家电影节在重庆闭幕
- 3第十四届中国儿童艺术节嘉兴分会场开幕 见证央地合作硕果,第十四届中国儿童艺术节嘉兴分会场开幕 见证央地合作硕果
- 4捡到身份证怎么办?律师:交给公安机关最稳妥,捡到身份证怎么办?律师:交给公安机关最稳妥
- 5中国圆号重奏团德国巡演奏响东方旋律,中国圆号重奏团德国巡演奏响东方旋律
- 6上海迎来普希金文学大展,上海迎来普希金文学大展
- 7(八闽千姿)“刀”耕不辍 福州古稀匠人传承软木画,(八闽千姿)“刀”耕不辍 福州古稀匠人传承软木画
- 8700余中俄青少年齐聚牡丹江开展文化艺术交流,700余中俄青少年齐聚牡丹江开展文化艺术交流
- 9“良渚文明的五重奏”国风系列动画短视频全球发布,“良渚文明的五重奏”国风系列动画短视频全球发布
- 10小暑节气,也要吃饺子?,小暑节气,也要吃饺子?




